What is the significance of the number 137 in physics?
Asked by: Undisclosed Sender
Answer
The importance of the number 137 is that it is related to the so-called
'fine-structure constant' of quantum electrodynamics. This derived
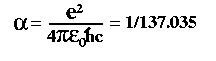
quantity is given by combining several fundamental constants of nature:
where e is the charge on the electron, c is the speed of light, h-bar is
Planck's constant and the epsilon represents the permittivity of free
space. Despite the fact that each of these constants have their own
dimensions, the fine-structure constant is completely dimensionless!
The importance of the constant is that it measures the strength of the
electromagnetic interaction. It is precisely because the constant is so
small (i.e. 1/137 as opposed to 1/3 or 5 or 100...) that quantum
electrodynamics (QED) works so amazingly well as a quantum theory of
electromagnetism. It means that when we go to calculate simple processes,
such as two electrons scattering off one another through the exchange of
photons, we only need to consider the simple case of one photon exchange
-- every additional photon you consider is less important by a factor of
1/137. This is why theorists have been so successful at making incredibly
accurate predictions using QED. By contrast, the equivalent
'fine-structure' constant for he theory of strong interactions (quantum
chromodynamics or QCD) is just about 1 at laboratory energy
scales. This makes calculating things in
QCD much, much more involved.
It is worth noting that the fine-structure 'constant' isn't really a
constant. The effective electric charge of the electron actually varies
slightly with energy so the constant changes a bit depending on the energy
scale at which you perform your experiment. For example, 1/137 is its
value when you do an experiment at very low energies (like Millikan's oil
drop experiment) but for experiments at large particle-accelerator
energies its value grows to 1/128.
Answered by: Brent Nelson, M.A. Physics, Ph.D. Student, UC Berkeley
'If you would be a real seeker after truth, it is necessary that at least once in your life you doubt, as far as possible, all things.'